|
濕電咨詢服務: 陶經理18332815001 張經理18633235200
關鍵詞:濕式電除塵器;PM2.5;SO3;排放績效;
摘要:對典型裝機容量機組濕式電除塵器的PM2.5、SO3及Hg的脫除性能進行了分析,并研究了PM2.5、SO3及Hg的排放特性。結果表明:濕式電除塵器對PM2.5、SO3和Hg的脫除效率分別能達到78%、62%和58%以上,PM2.5排放績效在6.00~15.00mg/(kW·h)之間,SO3排放績效在3.00~24.00mg/(kW·h)之間,Hg排放績效在11.00~26.00μg/(kW·h)之間。通過非線性回歸模型模擬得出濕式電除塵器出口PM2.5、SO3、Hg的排放績效計算模型,降低了燃煤機組煙氣中PM2.5、SO3、Hg排放總量預估的難度。
隨著燃煤機組超低排放改造逐漸深入,各類新型環保技術快速發展,為控制大氣污染物排放提供了技術路線。濕式電除塵器作為引入燃煤發電領域的新型環保技術,其有效的除塵性能得到國內外科技工作者較為廣泛認可。濕式電除塵器運行性能良好,污染物協同脫除性能好,在燃煤發電領域發展迅速,國內投運的濕式電除塵器數量已超過歐美日等國在役設備總和。
目前,對濕式電除塵器除塵性能影響因素的研究報道較多,然而,針對濕式電除塵器出口非常規污染物的排放特性的研究報道很少,在超低排放的環保背景下,對非常規污染物排放總量的預測鮮見報道。
本文通過對四種不同容量等級的燃煤機組的濕式電除塵器進行性能測試研究,分析濕式電除塵器對煙氣中PM2.5、SO3及Hg的協同脫除性能,并研究其排放特性,建立排放績效模型預測其排放總量。
1 研究方法
1.1 機組概況
本文選擇了4臺典型燃煤機組濕式電除塵器作為研究對象,對濕式電除塵器的污染物協同脫除能力和污染物排放特性進行分析研究,涉及機組裝機容量等級分別為150MW、300MW、600MW、1000MW級。為了便于測試結果比較研究,選擇的各機組環保技術工藝均為低氮燃燒(LNB)+SCR脫硝裝置+靜電除塵器(ESP)+石灰石-石膏濕法脫硫裝置(FGD)+濕式電除塵器(WESP)。
1.2 測試依據及儀器
測試期間要求機組及環保設施正常運行,燃用煤質、運行負荷穩定、在線CEMS表計指示正確。試驗依據及儀器如表1所示。
表1 試驗依據及主要儀器

測試方法依照表1所列相關標準執行,文中PM2.5采用芬蘭生產的Dekati PM-10測試,顆粒物粒徑測試范圍為>PM10>PM2.5>PM1,采用稱重法計算得到PM2.5濃度。全自動便攜式汞采樣系統(PMS 30B)進行煙氣中汞樣品采集,采用美國生產的汞分析儀(Hydra II C)進行汞濃度檢測。SO3濃度依據《石灰石-石膏濕法煙氣脫硫裝置性能驗收試驗規范》(DL/T998-2016)進行測試,紅外氣體分析儀測試煙氣中SO2、NOx、O2等濃度。為了保證測試結果的準確性,采用了平行采樣及平行樣分析的方法。現場采樣位置示意圖如圖1所示。
圖1 采樣測點示意圖

1.3 WESP條件下PM2.5、SO3及Hg的績效模型計算
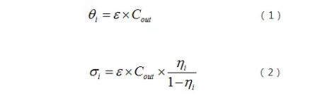
為了分析濕式電除塵器對PM2.5、SO3及Hg的排放特性的影響,引入煙氣中PM2.5、SO3及Hg排放績效和濕式電除塵器PM2.5、SO3及Hg消減績效兩個概念。煙氣中PM2.5、SO3及Hg排放績效指燃煤機組單位發電量(1kW·h)產生的煙氣中的PM2.5、SO3及Hg對環境貢獻的總量(質量),濕式電除塵器PM2.5、SO3及Hg消減績效指燃煤機組單位發電量(1kW·h)時濕式電除塵器脫除某一污染物的總量(質量)。文中無特別注明,所述汞排放濃度,均指總汞(Hg)排放濃度,所述機組為純發電機組,所述氣體成分狀態為標態、干基、6%O2。
通過非線性回歸模型模擬得到煙氣中PM2.5、SO3及Hg排放績效的計算公式和濕式電除塵器PM2.5、SO3及Hg消減績效的計算公式,如式(1)、(2)所示。

式(1)中,θi為某一種煙氣成分的排放績效,mg/(kW·h)(Hg以μg/(kW·h)計);i指PM2.5、SO3及Hg中的任一種成分;ε為煙氣排放體積與機組發電量比值系數,3.15≤ε≤3.75,m3/(kW·h),與空氣過剩系數正相關;Cout為濕式電除塵器出口PM2.5、SO3及Hg排放濃度,mg/m3(Hg以μg/(kW·h)計)。
式(2)中,σi為某一種氣體成分濕式電除塵器消減績效,mg/(kW·h)(Hg以μg/(kW·h)計);ηi為某一種氣體成分的濕式電除塵器脫除率,%。
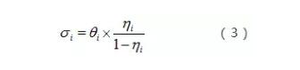
由式(1)和式(2)可以得到煙氣中PM2.5、SO3及Hg排放績效與濕式電除塵器PM2.5、SO3及Hg消減績效之間的關系,如式(3)所示。

污染物排放績效比排放濃度更清晰的反映不同容量等級燃煤機組外排污染物對大氣環境的影響,污染物排放績效能側面反映環保設施的運行性能。取得污染物排放濃度數據,即可進行排放績效計算,然后進行污染物排放總量預估,消除機組運行工況、運行參數等不確定性因素影響污染物排放總量數據的準確度。污染物消減績效反映濕式電除塵器對減排污染物所作的貢獻,也能體現濕式電除塵器對污染物的脫除效率。
2 結果與討論
2.1 WESP對PM2.5、SO3及Hg的脫除性能 為了考察裝機容量大小對濕式電除塵器協同脫除PM2.5、SO3及Hg性能的影響,以及我國燃煤機組實施超低排放后,PM2.5、SO3及Hg排放值在世界范圍內所處水平,選取典型機組濕式電除塵器PM2.5、SO3及Hg的脫除效率和排放濃度進行現場測試,結果如圖2所示。



圖2 WESP對PM2.5、SO3及Hg的脫除性能
如圖2(a)可知,機組容量等級對濕式電除塵器除塵性能并沒有明顯影響,且濕式電除塵器對PM2.5脫除效率均在78%以上。PM2.5/PM體現了PM2.5在總顆粒物中的占比(質量濃度百分數),更體現濕式電除塵器對不同粒徑顆粒物的脫除性能,比值越大,則PM2.5的脫除性能越差。圖2(a)還顯示出口煙氣中PM2.5在PM中的占比在45%~80%之間,大顆粒物脫除量明顯高于PM2.5,同時測試結果也反映了當前濕式電除塵器對PM2.5的脫除能力有限(相比于靜電除塵器99.9%以上的除塵效率)。目前,可以從增強細顆粒物凝聚、增大熱泳力、強化液橋力等技術層面提升濕式電除塵器對PM2.5的脫除性能。濕式電除塵器出口PM2.5排放濃度平均水平在3mg/m3以下,能夠很好的滿足煙塵超低排放要求,但實現PM排放濃度達到1mg/m3以下,則需要進一步提升濕式電除塵器的除塵性能,特別是PM2.5的脫除性能。
如圖2(b)所示,世界范圍內,美國佛羅里達州SO3排放限值(0.6mg/m3)要求*嚴,中國上海地區的SO3排放限值嚴于美國*高限值(馬里蘭州20mg/m3)、德國限值(10mg/m3)和新加坡限值(10mg/m3)。現場實測SO3排放濃度范圍在0.7~8.0mg/m3之間,濃度值波動范圍較大,但不可忽視的是,雖然裝機容量大的機組SO3排放濃度值低,但裝機容量大的機組SO3排放量(質量)比裝機容量小的機組大得多。目前,SO3脫除性能*佳的技術為濕式電除塵器和低低溫電除塵器,已有研究表明,影響濕式電除塵器SO3脫除效率的因素主要有電極形式、停留時間、二次電壓、煙塵粒徑、入口濃度、溫度等。圖2(b)顯示濕式電除塵器對SO3脫除效率在60%以上,機組容量等級對濕式電除塵器SO3脫除效率影響甚小,但機組容量等級高,外排煙氣量大,影響SO3排放量(質量)。
如圖2(c)可知,四種裝機容量機組的Hg排放濃度范圍為2.0~9.0μg/m3,接近國內燃煤機組Hg排放濃度的平均水平,同樣Hg排放濃度也接近美國低階煤Hg排放限值,高于美國非低階煤Hg排放限值,但遠低于中國Hg標準排放限值和德國標準排放限值。采用環保超低排放工藝后,濕式電除塵器出口Hg排放濃度遠低于國家標準,其Hg脫除效率在60%以上。圖2(c)顯示裝機容量大的機組Hg脫除率高于裝機容量小的機組,并呈現增大趨勢,表明大容量機組對控制Hg排放濃度具有積極意義,但大容量機組Hg排放量(質量)要高于小容量機組,應引起足夠重視。
2.2 WESP條件下PM2.5、SO3及Hg的排放特性
基于現場實測試驗數據,根據式(1)和式(2)對PM2.5、SO3及Hg的排放績效和消減績效平均值進行計算,得到PM2.5、SO3及Hg的排放績效和消減績效結果如圖3所示。

圖3 PM2.5、SO3及Hg的排放特性
由圖3(a)可知,PM2.5、SO3排放績效范圍分別為6.00~15.00mg/(kW·h),3.00~24.00mg/(kW·h),主要受PM2.5、SO3排放濃度控制,機組發電量和煙氣量的不確定性影響通過式(1)盡可能降低,同容量等級機組、相同的煙氣系統下PM2.5、SO3排放濃度高,則排放績效高,反之亦然。對于不同容量等級機組、不同環保技術工藝,低的污染物排放濃度并不能說明外排到大氣中的污染物的質量少,采用污染物排放績效指標可以清晰的反映燃煤機組排放到大氣中的污染物質量,即根據發電量多少判斷不同機組對大氣環境的污染物貢獻量。
PM2.5、SO3消減績效主要體現濕式電除塵器對PM2.5、SO3的脫除性能。根據式(2)可知,PM2.5、SO3的脫除率越高,則消減績效值越高,濕式電除塵器對PM2.5、SO3的脫除能力越強,性能越好。在進行同類型濕式電除塵器PM2.5、SO3脫除性能對比時,在PM2.5、SO3脫除效率接近的情況下,PM2.5、SO3排放濃度對消減績效的影響不容忽視。圖3(a)顯示PM2.5、SO3消減績效范圍分別為39.00~119.00mg/(kW·h), 16.00~90.00mg/(kW·h)。
由圖3(b)可知,Hg的排放績效范圍在11.00~26.00μg/(kW·h)之間,且機組裝機容量越大,Hg排放績效越低,并呈現向下趨勢。根據式(1)可知,排放績效與排放濃度呈正線性相關,依據式(1)可以根據PM2.5、SO3、Hg的排放濃度進行其排放績效預估,實時掌握PM2.5、SO3、Hg的排放總量。
由圖3(b)可知,基于實測數據的濕式電除塵器汞消減績效范圍在41.00~60.00μg/(kW·h)之間。根據式(3)可知,濕式電除塵器消減績效與排放績效呈函數關系,隨濕式電除塵器脫除率的升高或降低呈現單調遞增或單調遞減。圖3(b)中1000MW機組汞消減績效逆趨勢增大是由于汞脫除率增大引起的。為了進一步分析式(3)中的控制因素,確定計算結果的主要影響參數,本文以Hg為例進行對比研究,選取了濕式電除塵器汞脫除率為50%和汞排放績效為15.00μg/(kW·h)兩個值,分別考察汞排放績效和汞脫除率對汞消減績效的影響,具體結果如圖4所示。

圖4 煙氣中汞排放績效和汞脫除率對汞消減績效的影響
如圖4所示,設定條件下,兩條曲線存在兩個交點,即Hg消減績效分別為10、15μg/(kW·h),對應Hg脫除率分別為40%、50%。由圖4可知,存在若干點對(Hg脫除率值與汞排放績效值),使得Hg脫除率和Hg排放績效對Hg消減績效具有樣的影響效果,在點對低值范圍(圖4所示Hg排放績效小于10μg/(kW·h)、Hg脫除率小于40%),Hg排放績效對Hg消減績效的影響較大;在點對高值范圍(圖4所示Hg排放績效大于15μg/(kW·h)、Hg脫除率大于50%),Hg脫除率對Hg消減績效的影響較大。
3 結論
(1)不同容量等級機組濕式電除塵器對PM2.5、SO3和Hg的脫除效率分別能達到78%、62%和58%以上,PM2.5、SO3及Hg的排放績效范圍分別為6.00~15.00mg/(kW·h),
3.00~24.00mg/(kW·h),
11.00~26.00μg/(kW·h),
濕式電除塵器對PM2.5、SO3及Hg的消減績效范圍分別為39.00~119.00mg/(kW·h),
16.00~90.00mg/(kW·h),
41.00~60.00μg/(kW·h)。
(2)通過非線性回歸模型模擬得出濕式電除塵器出口PM2.5、SO3、Hg的排放績效計算模型和濕式電除塵器對PM2.5、SO3、Hg的消減績效計算模型,盡可能降低機組發電量和煙氣量對排放績效和消減績效的影響。基于計算模型,可以通過PM2.5、SO3、Hg的排放濃度進行其排放績效預估,實時掌握PM2.5、SO3、Hg的排放總量,降低了燃煤機組煙氣中PM2.5、SO3、Hg排放總量預估的難度,實時對比不同機組對大氣中外排PM2.5、SO3、Hg的貢獻值。
(3)濕式電除塵器對PM2.5、SO3、Hg等污染物的協同脫除能力較好,為將來上述各項污染物控制技術路線提供了發展方向。
作者簡介:楊用龍 , 男, 工程師, 主要從事火電廠煙氣環保工程技術研究工作。
發表于《應用化工》,2018年4月2日
河北威美環保設備科技有限公司
→查看更多河北威美環保產品 濕式靜電除塵器 電除霧器 陽極管 濕電 濕電除塵器 陰極線 濕法脫硫除塵 濕式電除塵器 不銹鋼陽極管 半干法脫硫 玻璃鋼儲罐 玻璃鋼管道 脫硫塔噴淋層 側攪拌
→ 免費濕電咨詢服務:陶經理18332815001 張經理18633235200
→ 回首頁 
|